En uke i energiomstillingen
Uke 46: Ren energi senker energikostnadene
- IEA: Mer ren energi senker husholdningenes kostnader
- GCB: Spår 1,1 prosent vekst i fossile utslipp, samlede utslipp flatt i 2025
- Ember: Sol og vind tar all kraftvekst i 2025
- 18 måneder uten økte utslipp fra Kina
- EU-parlamentet slutter seg til 2040-mål
- Ørsted har kuttet 98 prosent av utslippene
- Staten felt i søksmål om saksbehandlingsregler
- Island: Havstrømkollaps er en eksistensiell trussel
- Irland lanserer store investeringsplaner for nett og energi
- Amerikanske energiselskaper girer opp for datasentrene
- Over 200 000 nye tak med solceller i Storbritannia
- Folk installerer sol og batterier hjemme i Puerto Rico, Myanmar
- Sunrun: 70 prosent kjøper batteri sammen med solceller
- 9 710 søknader om nett for batterier i Tyskland
- Vestlandske bygger om ferger til elektrisitet
- Vindkraft på land løfter lokale eiendomspriser i USA
- Utreder kjede av store vindkraftverk langs grensen til Russland
- Skottlands eldste vindkraftverk fornyet
- Slutt på deponering av bruke turbinblader i Europa
- Odfjell, Encomara har fått godkjentstempel for flytende havvindteknologi
- CATL har solgt 200 GWh batterier
- Adani-gruppen melder seg på batterisektoren med kjempebatteri
- Enlight henter penger til Snowflake
- Highview henter penger til langtidslagring
- Statkraft starter bygging av Necton
- Vil etablere pumpekraft til havs
- Varmepumper gir kostnadseffektiv varme for industri
- Indias største hydrogenfabrikk settes i drift
- Tyskland barberer gasskraftplanene
- Google varsler store investeringer i Tyskland
- Svarteper flytter på seg i fransk det franske energispillet
- Storbritannia velger Wylfa for SMR
- Svensk industri inn i Videberg, den svenske staten på vei
- Flamanville 3 stenges ned 26. september 2026 i 360 dager
IEA: Mer ren energi senker husholdningenes kostnader
Det internasjonale energibyrået (IEA) har publisert World Energy Outlook 2025, også kjent som "energibibelen"1. I scenario STEPS (Stated Policies) øker global temperatur med 2,5 grader. I et gammelt, nå gjenoppstått, scenario CPS (Current Policies), øker den med 3 grader. IEAs tidligere scenario, APS (Announced Pledges), er tatt ut, noe som forklares med forsinket annonsering av oppdaterte klimamål. Et normativt scenario NZE (Net Zero Emissions) er også med. Reintroduksjonen av CPS hevdes av enkelte å være presset frem av Trump-administrasjonen, og har fått blandede reaksjoner. Enkelte mener det er nyttig å se størrelsen på kostnadene og skadene som vil ramme vanlige innbyggere hvis klimapolitikken ikke skjerpes. Andre mener CPS bygger på helt urealistiske forutsetninger, blant annet ingen økt elbilandel utenfor Europa og Kina frem til 2050 og at veksten i årlig installert solkraft plutselig stopper2.


Alle scenarioer viser at utslippene før eller senere går ned. Men senere betyr høyere global oppvarming med tilhørende kraftig økte kostnader og skader. I alle scenarioer tar sol- og vindkraft over som verdens viktigste energikilder. Kostnadene, særlig for solkraft og batterier, ventes å falle ytterligere og mest i avanserte økonomier. IEA, i likhet med en rekke andre analysemiljøer, knuser myten om at renere energi gir dyrere energi. Jo mer ambisiøs klimapolitikken og energiomstillingen er, jo lavere blir husholdningenes totale energiregninger. I tillegg kommer den langt større gevinsten av at kostnader og skader forbundet med økt global temperatur i større grad unngås.



GCB: Spår 1,1 prosent vekst i fossile utslipp, samlede utslipp flatt i 2025
Ledende klimaforskere har publisert Global Carbon Budget 20253. Studien gir prognoser på utslipp og opptak for 2025. Glen Peters oppsummerer studien på Bluesky4. Veksten i fossile utslipp fra Kina og India vokser mindre enn før, mens værforhold gir midlertidige økte utslipp fra USA og EU i 2025. Samlet gir det en vekst i fossile utslipp på 1,1 prosent. Opptak av CO2 ventes å øke igjen knyttet til globale værmønstre. Tar man med reduserte utslipp fra arealbruksendringer gir det en samlet endring i menneskeskapte utslipp på minus 0,04 prosent sammenlignet med 2024, i praksis flatt. Siden 2015 har 35 land kombinert økonomisk vekst med fallende utslipp.



Ember: Sol og vind tar all kraftvekst i 2025
Globalt ventes det at sol- og vindkraft dekker hele det økte kraftbehovet i 2025. Det skriver Ember. I årets tre første kvartaler økte sol- og vindkraftproduksjonen mer enn forbruket, på tross av at redusert nedbør gir mindre vannkraftproduksjon. Fossil kraftproduksjon forventes å ligge flatt i 2025, for første gang siden pandemien5.


Analytiker Nicolas Fulghum skriver på Bluesky at fornybar elektrisitet for første gang er større enn fossil elektrisitet i Australia. For ti år siden, i oktober 2025, var kraftmiksen 86 prosent fossil. Data er fra Ember6.

18 måneder uten økte utslipp fra Kina
CarbonBrief skriver at Kinas utslipp av CO2 har ligget flatt eller falt i 18 måneder. Fallet skyldes raskt utrulling av elbiler og redusert produksjon av stål og sement. Utslippene fra kraftverk ligger flatt, tross kraftig økt forbruk. Det som trekker opp er petrokjemisk industri7.


EU-parlamentet slutter seg til 2040-mål
De folkevalgte i EU-parlamentet har avklart parlamentets posisjon i forbindelse med behandlingen av EUs klimamål for 2040. I likhet med kommisjonen og rådet går flertallet inn for kutt på 90 prosent innen 2040. I likhet med rådet støtter parlamentet et noe mer fleksibelt mål enn kommisjonens opprinnelige forslag. Saken går nå til trilog-forhandlinger før det fattes endelig vedtak. Siden rådets og parlamentets posisjon er såpass like, vil forhandlingene trolig bli enkle. Vedtaket ble fattet med 379 mot 248 stemmer8.
Ørsted har kuttet 98 prosent av utslippene
Det danske energiselskapet Ørsted, som måtte hente ny kapital etter at Trump-administrasjonen saboterte havvindprosjekter i USA, har kuttet 98 prosent av sine klimagassutslipp sammenlignet med 2006. Ørsted lanserte i 2009 visjonen om å omstille virksomheten fra fossil til fornybar energi. Denne omstillingen er nå langt på vei fullført. Selskapet har bygget ut 18,5 GW18,5 GW tilsvarer 47 prosent av Norges samlede installerte kapasitet i 2023 (energifaktanorge.no). fornybar energi9.
Staten felt i søksmål om saksbehandlingsregler
Greenpeace og Natur og Ungdom vant over staten i Borgarting lagmannsrett, slik de også gjorde i Oslo tingrett. Saken dreier seg om klimakonsekvenser av utbyggingen av oljefeltene Breidablikk, Tyrving og Yggdrasil var tilstrekkelig utredet. De to første feltene er alt i drift. Borgarting lagmannsrett oppsummerer saken slik10:
Lagmannsretten mener at klimavirkningene fra forbrenningsutslipp verken er tilstrekkelig utredet eller vurdert, blant annet opp mot gjenværende karbonbudsjetter. Det er heller ikke sett hen til de kumulative forbrenningsutslippene fra norsk petroleumsvirksomhet. Godkjenningene oppfyller ikke de krav til saksbehandlingen som følger av EUs prosjektdirektiv og den europeiske menneskerettighetskonvensjon (EMK) artikkel 8. Lagmannsrettens konklusjon er at godkjenningene av PUD kjennes ugyldige. I tillegg har lagmannsretten gitt midlertidig forføyning for at staten pålegges å igangsette ny saksbehandling, før lagmannsrettens dom er rettskraftig, med henblikk på at det innen seks måneder, alternativt to måneder etter rettskraftig avgjørelse, treffes nye avgjørelser av om PUD skal godkjennes eller ikke. Miljøorganisasjonene får derimot ikke medhold i sitt forføyningskrav om at virkningene av PUD-godkjenningene som er kjent ugyldige, skal suspenderes.
Island: Havstrømkollaps er en eksistensiell trussel
Reuters skriver at Islands sikkerhetsråd har drøftet en mulig kollaps i de store atlantiske havstrømmene (AMOC). Det er første gang rådet har drøftet et klimafenomen som en potensiell eksistensiell trussel ifølge klimaminister Johann Pall Johannsson. En slik kollaps er et mulig vippepunkt, utløst av menneskeskapte klimaendringer, som det forskes på. Resultatet vil i så fall bli en ny istid for Island, mens andre deler av verden blir mye varmere11.
Irland lanserer store investeringsplaner for nett og energi
Den irske regjeringen lanserer planer om støtte til investeringer i nett og ren energi på til sammen 66 mrd. kr.Valutakurs per 1. januar 2026. frem til 2030. Et kapitalinnskudd i landets nettselskap på 41 mrd. kr.Valutakurs per 1. januar 2026. skal utløse 213 mrd. kr.Valutakurs per 1. januar 2026. i nettinvesteringer. Det settes av 44 mrd. kr.Valutakurs per 1. januar 2026. til energieffektivisering i bygninger, blant annet rettet mot husstander utsatt for energifattigdom12.
Amerikanske energiselskaper girer opp for datasentrene
Amerikanske energiselskaper girer nå opp for kraftig vekst. En gjennomgang av siste kvartalsrapporter fra Latitude Media viser planlagte investeringer på 10 051 mrd. kr.Valutakurs per 1. januar 2026. de neste fem årene. Det utvikles egne strømpriser for storkundene for å skjerme forbrukere. Kunder som forplikter seg til fleksibelt strømforbruk kommer først i køen13.
Over 200 000 nye tak med solceller i Storbritannia
Så langt i år er det installert små solcelleanlegg på 203 125 tak i Storbritannia. Over 1,85 millioner har dermed egenprodusert kraft. I 2027 er det ventet en ny bygningsstandard som i praksis krever solceller på nye bygninger. Det installeres også stadig flere batterier. Det finnes nå 59 000 små batterianlegg. Det skriver MCS14.
Folk installerer sol og batterier hjemme i Puerto Rico, Myanmar
PV Magazine skriver at husstander i Puerto Rico nå har 1,3 GW solkraft og 185 000 batterier. 81 000 av disse er innrullert i et virtuelt kraftverk. Utbyggingen de neste to årene ventes å komme opp i 710 MW solkraft. Innen 2029 ventes 3 GWh hjemmebatterier. 70-80 prosent av markedet består av modeller hvor tredjepart eier utstyret. Puerto Rico har et knelende strømnett med lav stabilitet og høye priser på grunn av import fossil kraft. Dermed blomstrer private løsninger med solkraft og batterier15. En lignende utvikling skjer i Myanmar. Reuters skriver at stadig flere produserer sin egen strøm med solceller og støtter opp med batterier. Thailand har kuttet strømmen, mens sanksjoner og borgerkrig gjør at nettet forfaller. Nærmere 300 000 husstander skal ha installert solceller i 2025, hvorav mange bytter fra dieselgeneratorer16.
Sunrun: 70 prosent kjøper batteri sammen med solceller
I USA kjøper nå 70 prosent av Sunruns kunder batteri sammen med solceller på taket. Det skriver Utility Dive. 106 000 kunder nå innrullert i virtuelle kraftverk. Økningen her er på 400 prosent. I disse virtuelle kraftverkene er det nå 3,7 GWh lagringskapasitet, og Sunrun venter å passere 10 GWh ved slutten av 202817.
9 710 søknader om nett for batterier i Tyskland
Bundesnetzagentur (BNA) skriver at det i 2024 ble levert inn ikke mindre enn 9 710 søknader om nett for batterier i 2024. Batterier i private hjem kommer i tillegg. Tallene for 2025 er ikke klare. Samlet ble det søkt om en kapasitet på ca. 400 GW400 GW tilsvarer 10 ganger Norges samlede installerte kapasitet i 2023 (energifaktanorge.no). / 661 GWh. 3 800 forespørsler ble innvilget for samlet 25 GW / 46 GWh18.
Vestlandske bygger om ferger til elektrisitet
To ferger på Geirangerfjorden skal bygges om til elektrisk drift. I følge Vestlandske vil ombyggingen spare 2 600 tonn CO2 årlig og legge til rette for videreutvikling av tilbudet uten belastning på naturen. Prosjektet støttes av Enova og fergene skal være klare til drift fra sesongstart 202619.
Vindkraft på land løfter lokale eiendomspriser i USA
Renew Economy skriver at vindkraftverk i nabolaget gir et lite løft til amerikanske eiendomspriser. Det viser en ny studie. I tillegg til at folks hjem stiger tre prosent i verdi, finner studien også en liten økning i lærertetthet i offentlige skoler. Jo større vindkraftverk, jo større effekt20.
Utreder kjede av store vindkraftverk langs grensen til Russland
Et long shot, kanskje, men energinyheter.se skriver at det nå utredes en kjede med over 1 000 vindturbiner langs den finske grensen til Russland. Forsvaret har vært skeptisk til å ha turbiner foran radarer, men ideen her er at sensorer skal plasseres på turbinene. Høyden på tårnene skal bidra til at sensorene kan se mye lenger inn i Russland. Utredningen skjer i regi av ResilEast-programmet som drives av kommunale og regionale aktører21.
Skottlands eldste vindkraftverk fornyet
Hagshaw Hill, Skottlands eldste kommersielle vindkraftverk, har vært gjennom et repowering-prosjekt. ScottishPower Renewables har fjernet og sendt de 26 gamle turbinene til resirkulering. Nå er det satt opp 14 moderne turbiner. Samlet effekt med de nye turbinene er 79 MW, fem ganger så mye som de gamle turbinene leverte. Det skriver BBC22.
Slutt på deponering av bruke turbinblader i Europa
Den europeiske vindkraftbransjen har innført et selvpålagt forbud mot deponering av brukte turbinblader fra 1. januar 2026. Mange vindkraftverk står i drift lenger enn opprinnelig planlagt, men før eller senere er det slutt for alle. Wind Europe har samlet en rekke eksempler på ulike metoder for gjenbruk og resirkulering som er i bruk i Europa allerede i dag23.
Odfjell, Encomara har fått godkjentstempel for flytende havvindteknologi
Norske Odfjell Ocenawind har fått Basic Design Approval fra DNV for sin Deepsea Star plattform for flytende havvind. Flyteren er designet for 15 MW turbiner og er tilpasset tøffe værforhold i Nordsjøen24. Encomara har fått ABS-sertifisering for sin løsning for forankring og tilkobling kalt Squid. Løsningen skal kunne doble utplasseringshastigheten for flytende havvind og dermed kutte kostnadene betydelig. Selskapet hevder gevinsten skal være på 14 mrd. kr.Valutakurs per 1. januar 2026. per GW. Det skriver 4C Offshore25.
CATL har solgt 200 GWh batterier
Beijing HyperStrong Technology skal kjøpe 200 GWh batterier fra kinesiske CATL de neste tre årene. HyperStrong selger integrerte batterilagringssystemer26. Den gigantiske avtalen løftet kinesiske batteriaksjer på børsene27. CATL meldte nylig at de jobber på spreng med å bygge nye batterifabrikker samtidig som prisen på mindre celler har økt fordi etterspørselen er større enn tilbudet.
Adani-gruppen melder seg på batterisektoren med kjempebatteri
Det store indiske industrikonglomeratet Adani-gruppen annonserer at skal inn i batterisektoren. Lanseringen kommer med annonsering av et av verdens største batteriprosjekter på 1 126 MW / 3 530 MWh (3 timer) i India. Byggingen er alt i gang, og batteriet skal være ferdig i mars 2026 (!) og bestå av 700 containere i følge selskapet. Innen mars 2027 er Adani-gruppens mål å ha bygget ut 15 GWh og det "langsiktige" målet - innen fem år - er 50 GWh28.
Enlight henter penger til Snowflake
Enlight Renewable Energy har sikret finansieringen av Snowflake A i Arizona. Prosjektet består av 600 MW solkraft og 1,9 GWh batterilagring. Kommersiell drift er planlagt fra andre halvdel av 2027. Kraften er solgt gjennom en 20-årig kraftkjøpsavtale. Investorene, en gruppe internasjonale banker, stiller opp med lån på 14 mrd. kr.Valutakurs per 1. januar 2026.29
Highview henter penger til langtidslagring
Highview har hentet 1,8 mrd. kr.Valutakurs per 1. januar 2026. i ny kapital for å starte byggingen av 3,2 GWh hybrid langtids energilagring i Skottland. Konseptet, Millennium Series, består av flere elementer. Flytende luft lagret under trykk skal gi langtids energilagring på 12,5 timer, mens vanlige batterier skal sikre rask respons. En egen stabilitetsenhet skal levere systemtjenester som inerti og spenningskontroll til nettet30.
Statkraft starter bygging av Necton
Statkraft starter byggingen av Necton Greener Grid Park og investerer 1,4 mrd. kr.Valutakurs per 1. januar 2026. i prosjektet. Necton Greener Grid Park skal huse en synkronkompensator som skal levere inerti til strømnettet i Storbritannia når gasskraftverkene med tiden skrus av. Prosjektet er Statkrafts største til nå, og vil alene kunne dekke 3 prosent av behovet for inerti i hele landet. Byggingen vil ta to år. Prosjektet er en del av det britiske Stability Pathfinder Programme som skal legge til rette for å øke fornybarandelen og fase ut gasskraft. Programmet er anslått å gi besparelser på 202 mrd. kr.Valutakurs per 1. januar 2026. mellom 2025 og 203531.
Vil etablere pumpekraft til havs
En italiensk oppstartsbedrift, Sizable Energy, har sikret midler til bygging av et demonstrasjonsanlegg for pumpekraft til havs. Det skriver Canary Media. Bedriftens løsning er å feste et stort vertikalt rør på havbunnen, og så pumpe en saltholdig væske opp når det er overflod av energi. Når det trengs strøm slippes væsken ned igjen og genererer strøm. Målet er kostnader godt under dagens batterier32.
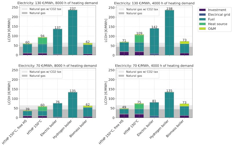
Varmepumper gir kostnadseffektiv varme for industri
Studien Techno-economic analysis of technologies for decarbonizing low- and medium-temperature industrial heat er publisert i Cell Reports Sustainability. Forskerne bak studien sammenligner kostnaden for ulike teknologier for levering av industrivarme. Varmepumper er den mest kostnadseffektive løsningen, og kan i mange tilfeller være billigere enn bruk av gass. Dersom varmepumper eller elektriske kjeler bygges sammen med varmelager, reduseres varmekostnaden. Hydrogen vil være kostbart som varmekilde33.

Indias største hydrogenfabrikk settes i drift
GlobalData skriver at JSW Energy setter i drift Indias til nå største fabrikk for grønt hydrogen. Fabrikken er samlokalisert med JSW Steels fabrikk for grønt stål. Det er inngått avtale om å levere 3 800 tonn grønt hydrogen årlig de neste syv årene34.
Tyskland barberer gasskraftplanene
Tyskland halverer planene om 20 GW ny gasskraft, noe som vil ha stor betydning for gassforbruket i landet. Det skriver Bloomberg News. Planen er resultat av en avtale mellom koalisjonspartnerne i den tyske regjeringen. Gasskraftverkene skal bidra til å balansere strømnettet når kullkraften fases ut. I første omgang skal 8 GW ny gasskraft skal lyses ut på anbud. Disse kraftverkene skal være i drift innen 2031 og være forberedt for hydrogen, men kravet til skifte av brensel utsettes fra 2035 til senest 2045. Ytterligere 2 GW hydrogenklar gasskraft skal lyses ut med drift fra 2032 og tidligere krav til overgang til hydrogen. Til sist skal det lyses ut 2 GW teknologinøytralt, hvor også batterier vil kunne delta. Fra 2032 skal det etableres et teknologinøytralt kapasitetsmarked for å ivareta leveringssikkerhet på en kostnadseffektiv måte35.
Google varsler store investeringer i Tyskland
Bloomberg News skriver at Google planlegger å investere 65 mrd. kr.Valutakurs per 1. januar 2026. i Tyskland de neste fire årene. Investeringene inkluderer to datasentre i Frankfurt-regionen. Lanseringen føyer seg inn i en rekke lignende annonseringer den siste tiden fra tech-selskaper i Tyskland samt i Storbritannia og Portugal36.
Svarteper flytter på seg i fransk det franske energispillet
Fra nyttår er det slutt på at fransk industri får kjøpe en fast mengde kjernekraft til regulert pris godt under produksjonskostnad. I flere år har den franske staten, industrien og produsenten EDF kranglet om hvem som skal ta regningen for kraften fra nedbetalte kjernekraftverk etter liberaliseringen. Industrien lå lenge tynt an på grunn av høye priser i kraftmarkedet. Den forrige toppsjefen i EDF fikk sparken av regjeringen på grunn av prisnivået på fastpriskontraktene han tilbød fransk industri. Nå skriver Les Echos at fallende markedspriser på grunn av svak etterspørsel gjør at industrien får et pusterom mens svarteper er på vei over til EDF. De siste dagene har kontrakter for levering om ett år gått for 0,63 kr.Valutakurs per 1. januar 2026. per kWh. Produksjonskostnaden for nedbetalte kjernekraftverk i Frankrike er av myndighetene beregnet til 0,71 kr.Valutakurs per 1. januar 2026. mens EDF selv mener de trenger ytterligere 0,24 kr.Valutakurs per 1. januar 2026. for å betjene gjeld og reinvestere i eksisterende og nye kjernekraftverk. - Vi er bekymret, sier EDFs kilder til Les Echos. Nå tar enkelte stemmer igjen til orde for å støtte nedbetalte kjernekraftverk med differansekontrakter, noe Frankrike har sikret seg åpning for i EU. EDF ønsker fortsatt ikke dette, men vil ha fart på elektrifisering og datasentre for å få opp etterspørselen37.
Storbritannia velger Wylfa for SMR
Den britiske regjeringen har annonsert at Wylfa i Wales er valgt som sted for den planlagte byggingen av tre små modulære reaktorer (SMR) fra selskapet Rolls-Royce. Med sine 470 MW hver er de riktignok ikke så små. Rolls-Royce gikk seirende ut av en britisk konkurranse om statsstøtte til bygging av SMR. Minst to leverandører var stilt i utsikt til å få statsstøtte, men dette ble kuttet til én - nemlig hjemmefavoritten. Nå har britiske myndigheter landet på Wylfa som lokasjon. Utbygger vil være det statlige selskapet Great British Energy - Nuclear. Kostnader og støttepakke er ikke publisert, men det er foreløpig satt av 34 mrd. kr.Valutakurs per 1. januar 2026. i budsjettet til prosjektet frem til 2027. Målet er drift fra midten av 2030-tallet38. Det meste ligger til rette på Wylfa fra før, ettersom området huset to reaktorer som ble lagt ned i 2013 og 2015. Hitachi planla et konvensjonelt kjernekraftverk her, men ga opp i 2019 og bokførte et tap på 37 mrd. kr.Inflasjonsjustert fra 2019 til 2025. Valutakurs per 1. januar 2026. Det skriver Financial Times39. Nå får altså Wylfa enda en sjanse.
Svensk industri inn i Videberg, den svenske staten på vei
Vattenfall har etablert prosjektselskapet Videberg Kraft AB for å drive utbyggingen av 1,5 GW ny SMR-kjernekraft ved Ringhals. Ni av Sveriges største industriselskaper går nå inn med samlet 437 mill. kr.Valutakurs per 1. januar 2026. i prosjektselskapet og tar 20 prosent eierandel. Midlene skal bidra til å dekke kostnader til utredninger og forberedelser på over 2,2 mrd. kr.Valutakurs per 1. januar 2026. som er ventet frem til endelig investeringsbeslutning kan fattes i 2029 eller 203040. Den svenske statens subsidiepakke er en forutsetning for prosjektet. Hvis myndighetenes anslag holder, vil investeringskostnaden bli på 131 mrd. kr.Valutakurs per 1. januar 2026. pluss finansieringskostnader. Svenska Dagbladet skriver at også den svenske staten vil gå inn med direkte eierskap i Videberg. Direkte statlig eierskap kommer i tillegg til at tre fjerdedeler av utbyggingen skal finansieres med subsidierte statlige lån, en differansekontrakt i 40 år og ytterligere garantier for at eierne skal være sikret å tjene penger. I tillegg er Vattenfall statseid. Vattenfalls toppsjef Anna Borg sier at: - Vi kommer ikke til å eie 100 prosent av Videberg kraft på betingelser som gjør at vår kredittrating skulle falle gjennom gulvet - det hadde jo vært uansvarlig rent finansielt41. Vattenfall er tre ganger så stort som Statkraft og statlig eid, men finansierer sine mer markedsbaserte investeringer i kapitalmarkedet. En dårligere kredittrating vil svekke rentebetingelsene i markedet og muligheten til å ta opp lån.
Flamanville 3 stenges ned 26. september 2026 i 360 dager
Les Echos skriver at Flamanville 3, Frankrikes første nye reaktor siden 90-tallet, stenges ned 26. september 2026 i 360 dager i følge Électricité de France (EDF). Formålet er å skifte ut reaktortankens lokk som har en kjent defekt, samt generelt vedlikehold. Det er planlagt 20 000 arbeidsoppgaver som skal utføres av 2 500 arbeidere fra 200 underleverandører. Flamanville 3 ble koblet til nettet i slutten av 2024, 12 år forsinket, og innledende tester pågår fortsatt. Disse testene kan ha påvirket reaktorkjernen, derfor skal også hele kjernen byttes ut. Den initielle kjernen har en kostnad på 2,4 mrd. kr.Inflasjonsjustert fra 2015 til 2024. Valutakurs per 1. januar 2026. i følge fransk riksrevisjon. Denne uken ble kraftverket testet på 80 prosent effekt for første gang. Full effekt er planlagt nådd innen årsskiftet og kommersiell drift kan først starte deretter. EDF kan fortsatt ikke si om kraftverket vil få en endelig effekt på 1 620 eller 1 585 MW, men sier at produksjon også vil avhenge av den varierende temperaturen på kjølevannet som hentes fra Den engelske kanal42.
Kilder
1: World Energy Outlook 2025, besøkt 16. november 2025
2: Hannah Richie på Bluesky, besøkt 16. november 2025
3: Global Carbon Budget 2025, besøkt 16. november 2025
4: Glen Peters på Bluesky, besøkt 16. november 2025
5: Ember: Q3 Global Power Report: No fossil fuel growth expected in 2025, besøkt 15. november 2025
6: Nicolas Fulghum på Bluesky, besøkt 15. november 2025
7: CB: Analysis: China’s CO2 emissions have now been flat or falling for 18 months, besøkt 15. november 2025
8: EUC: EU 2040 climate target: MEPs want 90% emissions reduction in EU climate law, besøkt 14. november 2025
9: Ørsted: Ørsted will be the first energy company in the world to complete a green transformation with a 98 % reduction in carbon emissions, besøkt 15. november 2025
10: BL: Dom avsagt i sivil sak mellom staten v/Energidepartementet og Föreningen Greenpeace Norden, Natur og Ungdom, besøkt 14. november 2025
11: Reuters: Iceland deems possible Atlantic current collapse a security risk, besøkt 14. november 2025
12: DCEE: Minister O'Brien announces publication of department's NDP Sectoral Capital Plan for 2026-2030, besøkt 16. november 2025
13: LM: Third quarter earnings and utilities’ data center moment, besøkt 14. november 2025
14: MCS: UK rooftop solar installations hit record high, besøkt 14. november 2025
15: PVM: In Puerto Rico, residential solar and storage growth outpaces utility-scale developments, besøkt 15. november 2025
16: Reuters: War-torn Myanmar embraces solar to tackle power crisis, besøkt 15. november 2025
17: UD: Sunrun sees 400% growth in virtual power plant participation, besøkt 15. november 2025
18: BNA: Status quo der Batteriespeicheranfragen 2024, besøkt 14. november 2025
19: VT: Nullutslippsferger til UNESCOs Geirangerfjord – utslippene reduseres kraftig, besøkt 15. november 2025
20: RE: Wind farms lift rural property values, study finds, and boost local schools, too, besøkt 14. november 2025
21: EN: Tusen vindkraftverk planeras längs Finlands östgräns, besøkt 15. november 2025
22: BBC: Scotland's first wind farm 'supercharged' after upgrade, besøkt 15. november 2025
23: WE: Where do wind turbine blades go after decommissioning?, besøkt 15. november 2025
24: OO: Odfjell Oceanwind sets new benchmark for floating offshore wind with DNV’s Basic Design Approval of Deepsea Star design for 15 MW turbine, besøkt 15. november 2025
25: 4C: 'Game-changing' floating wind tech secures key certification, besøkt 16. november 2025
26: HS: HyperStrong and CATL Sign a Ten-year Agreement, Deepening Strategic Partnership Including 200 GWh Procurement Over Three Years, besøkt 14. november 2025
27: TE: CATL's 200 GWh Shockwave Just Sent China's Battery Market Into Overdrive, besøkt 14. november 2025
28: AG: Adani Group Announces Strategic Entry into Battery Energy Storage Sector with one of the World’s Largest Single-location BESS Projects, besøkt 16. november 2025
29: ERE: Enlight Announces $1.44 Billion Debt Financing for Flagship Snowflake A Project in Arizona, besøkt 16. november 2025
30: HP: Highview surpasses half a billion pounds of funding with latest £130m capital raise for phase one of long duration energy storage facility at Hunterston, Ayrshire, besøkt 14. november 2025
31: Statkraft: Statkraft invests over £100 million in its largest grid stability scheme to date, besøkt 16. november 2025
32: CM: This startup wants to build pumped hydro storage in the ocean, besøkt 15. november 2025
33: Techno-economic analysis of technologies for decarbonizing low- and medium-temperature industrial heat, besøkt 14. november 2025
34: GD: JSW Energy commissions green hydrogen manufacturing plant in India, besøkt 16. november 2025
35: BN: Germany Shrinks Huge Plan to Build Gas-Fired Power Plants, besøkt 14. november 2025
36: BN: Google to Invest €5.5 Billion In German Data Centers, Operations, besøkt 14. november 2025
37: LE: Prix de l'électricité : entre EDF et ses grands clients, la peur a changé de camp, besøkt 14. november 2025
38: DESNZ: North Wales to pioneer UK’s first small modular reactors, besøkt 14. november 2025
39: FT: UK chooses north Wales for new generation of nuclear reactor, besøkt 14. november 2025
40: IK: Industrikraft och Vattenfall tar nästa steg för ny kärnkraft i Sverige, besøkt 14. november 2025
41: SvD: ABB, Saab och Volvo investerar i kärnkraft, besøkt 14. november 2025
42: LE: EPR de Flamanville : EDF va stopper pendant 350 jours le réacteur nucléaire à compter de l'automne prochain, besøkt 14. november 2025